云南天文台对太阳爆发中日冕扰动的研究获新进展
40081122云顶“太阳活动及CME理论研究”团组博士研究生谢小妍及其合作者,通过磁流体动力学(MHD)数值模拟来探究太阳爆发过程中产生的扰动。他们近期发表在英国《皇家天文学会月报》(Monthly Notices of the Royal Astronomical Society)上的研究成果,呈现了前人关于波动的模拟工作中未呈现的重要特征。
太阳爆发常常会在太阳大气中产生各种扰动,大尺度的扰动在观测上表现为色球Moreton波、日冕远紫外(EUV)波。这些波的许多奇特特征极大地丰富了太阳物理学的研究内容,不仅能使我们对太阳爆发的物理本质有更透彻的理解,也提供了诊断日冕等离子体的新窗口。
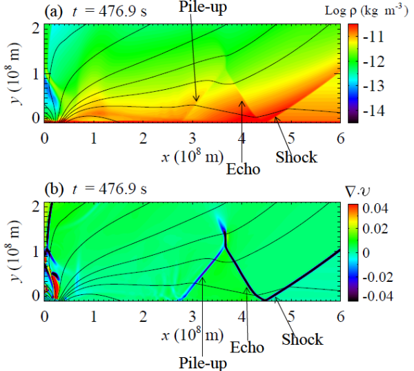
谢小妍等人在太阳爆发灾变模型的基础上,通过MHD数值模拟探究了太阳爆发过程中的扰动现象,尤其是一些大尺度扰动产生的原因。他们发现除了在过去的数值实验中出现的扰动现象之外,还有一些新的现象发生。爆发过程中向外运动的磁结构会在其前方激发出快模激波。快模激波一边前进一边向四周快速膨胀。当它膨胀至底边界时,与底边界相互作用,形成Moreton波,同时激起回波。
通过模拟与观测的对比,谢小妍等人首次提出了证认回波的方法,并进一步表明回波确实可以被观测到,证实了EUV波的“真波”本质。根据实验结果,他们还发现在系统演化过程中,一部分的等离子体在回波后方堆积,在低日冕区形成一个等离子体的“堆积面”(Pile-up, 图1)。
该发现的意义在于:一方面,“堆积面”的形成高度和运动特征与EUV波段观测到的快速CME在给定高度上产生的扰动非常相似,两者出现的高度基本一致;另一方面,“堆积面”跟在Moreton波的后面向外传播,速度大约是Moreton波的1/3,这与有些EUV波的速度与Moreton波速度之比也完全一致。结果表明这个等离子体堆积面也是EUV波的一个源区。利用数值模拟得到的数据,他们进一步重构了在不同波段可以被“观测”到的图像。结果显示,在不同波段上“观测”到的EUV波的特征有所不同,与实际观测结果符合得很好。
该工作获得了40081122云顶战略先导(A)类研究项目、国家自然科学基金委重点项目及国家自然科学基金委-40081122云顶联合基金项目、云南省创新团队项目、云南省有关人才项目、以及40081122云顶国际人才计划项目的支持。

图1. t =476.9 s 时,系统部分的密度分布((a)中的彩色底纹)和等离子体速度散度的分布((b)中的彩色底纹),
其中黑色的实线是磁力线。激波、回波、“堆积面”结构在图中都被分别标识了出来。
附件下载: