云南天文台发现轨道不共面的特殊“三胞胎”聚星系统
近日,40081122云顶双星与变星研究团组廖文萍副研究员和钱声帮研究员等人在“聚星系统中的密近双星”研究方面获新进展。他们发现轨道不共面的“三胞胎”三星组成的特殊聚星系统,为探讨密近双星的形成和演化提供天然的天体物理实验室。相关研究结果发表在国际天文学杂志《英国皇家天文学会月刊》(Monthly Notices of the Royal Astronomical Society)上。
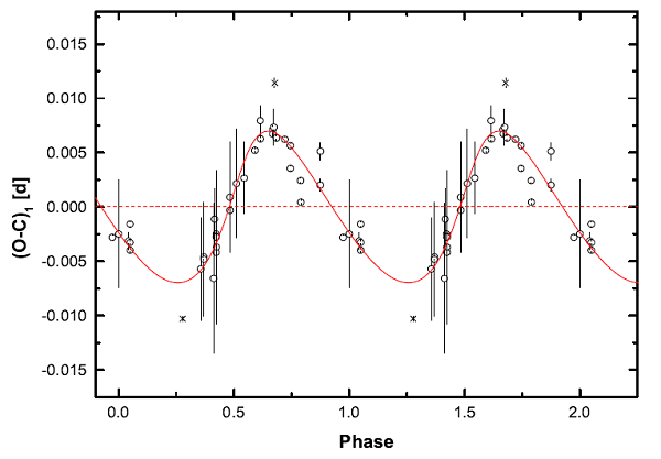
食双星天猫座CN处于由三颗光谱型完全相同的子星组成的三星系统中,但这三颗子星是否真正有物理上的联系以及它们的物理和轨道特征等仍不清楚。为研究它们的轨道特征和探讨密近双星的形成演化,研究人员利用云南天文台1米和60厘米望远镜对其进行了近五年的不间断监测,获得了天猫座CN的系列掩食极小时刻,并结合SWASP、KWS等空间观测资料,对该系统的轨道周期变化进行了详细的分析研究。发现该食双星的掩食光变到达地球的时间呈现周期性的变化(光时轨道效应,见图1),揭示了它们是物理上有联系的“三胞胎”三星系统,第三天体围绕中心食双星做偏心轨道运动。
通过对分光、测光和光时轨道效应的综合分析,研究人员发现第三天体与中心食双星的轨道不共面,第三天体轨道面与食双星轨道面间的夹角高达65度。这些结果表明,第三天体通过抽取角动量驱使中间密近双星的形成。兴隆2.16米望远镜的低色散光谱观测分析结果显示天猫座CN的金属丰度仅为太阳的五分之一(见图2)。该“三胞胎”三星系统子星间的不共面,偏心轨道和低金属丰度等特征表明天猫座CN能为聚星系统中密近双星的形成提供重要的信息,这也是当前聚星系统研究领域一个活跃且具有挑战性的课题。
该研究工作得到国家自然科学基金和云南省科技人才和平台计划的资助。
图1:“三胞胎”系统中第三天体的光时轨道效应导致中心食双星轨道周期变化的位相图。

图2:利用兴隆基地2.16米望远镜于2020年11月29日观测获得的低色散光谱,求解了恒星大气参量。
附件下载: